交替方向法是一种典型的一阶优化方法,在机器学习、统计学习、图像处理等领域有着广泛的应用。近年来,受到人工智能和大数据的驱动,随机交替方向法成为研究热点。然而现阶段的随机交替方向法把原始-对偶变量均放在一个内循环中,且学习率为固定值1,这在一定程度上削弱了算法的数值性能。
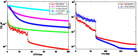
本工作打破现有随机交替方向法的设计思路,仅把光滑子问题的求解放在一个内循环中,发展了一种理论上收敛的非精确加速随机交替方向法(简称AS-ADMM)。具体而言,针对一类含有限和目标的可分离凸优化模型,设计了一种基于小批量样本和动量加速技术的AS-ADMM。随后,将该方法推广至带较大学习率的对称AS-ADMM(简称SAS-ADMM)以及局部并行(或串行)求解的多分块AS-ADMM。利用变分不等式框架,系统建立了算法在期望意义下的次线性收敛速度理论。特别的,在强凸假设下还建立了算法关于迭代点列的线性收敛速度理论。最后,通过调用LIBSVM网站上的公开数据集验证了所提算法求解监督学习问题的高效性,部分对比实验结果如下图所示。

本项工作由蜜桃直播 白建超、北京航空航天大学韩德仁等人合作完成,且第一作者白建超受邀分别在河南省运筹学会2021年学术年会和陕西省运筹学会2022年学术年会上做了大会特邀报告。
与本成果相关的论文:[1]J. Bai,W. Hager,H. Zhang. An inexact accelerated stochastic ADMM for separable composite convex optimization, Computational Optimization and Applications, 81 (2022), 479-518. [2]J. Bai, D. Han, H. Sun, H. Zhang. Convergence analysis of an inexact accelerated stochastic ADMM with larger stepsizes,Publishedonline in CSIAM Transactions on Applied Mathematics, (2022), DOI:10.4208/csiam-am.SO-2021-0021.
图/文:张硕 审稿人:徐根玖

英文


微信二维码